Sold

19 Mckean St, Mooroopna

SOLD for $150,000

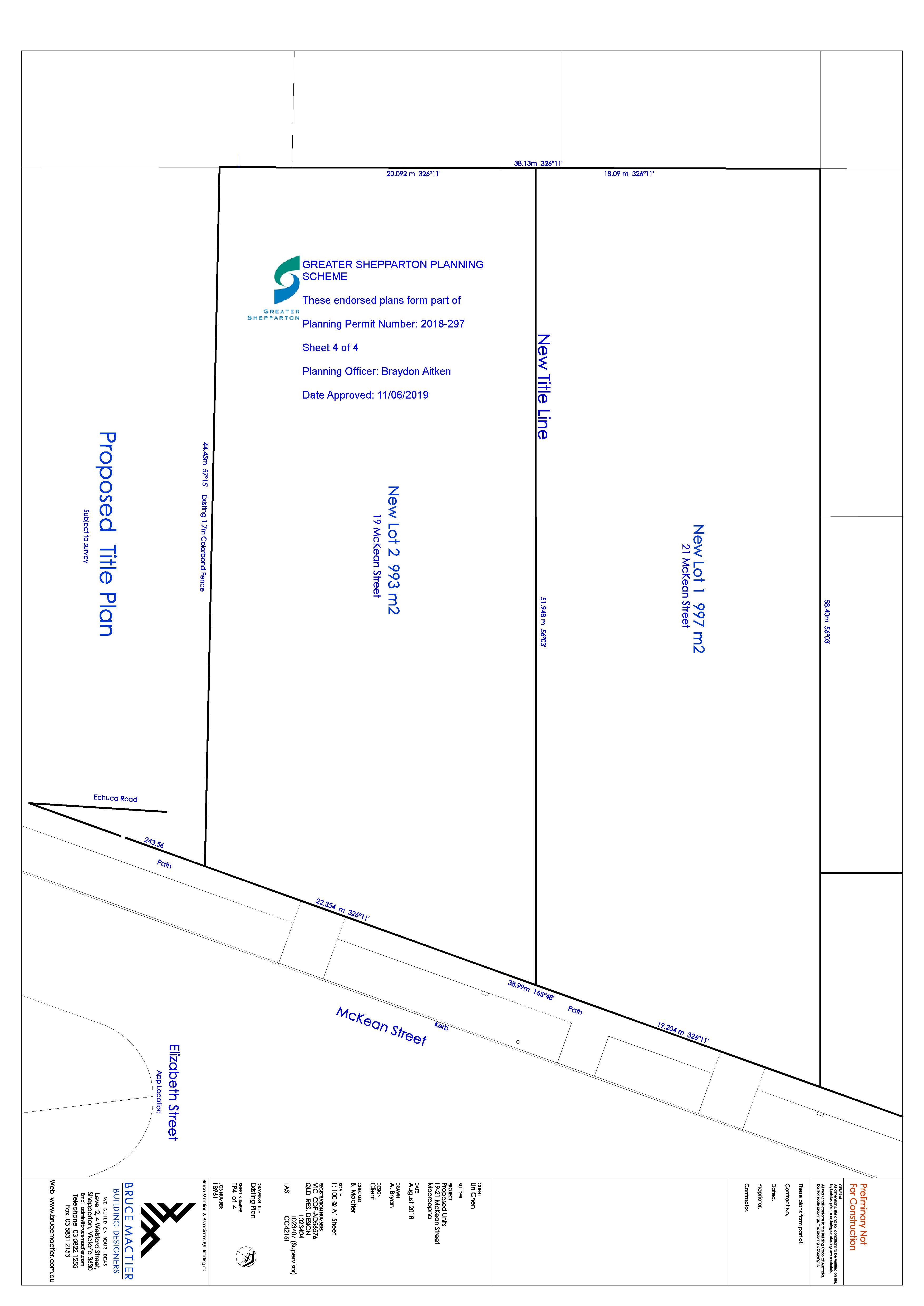
1,990m2

INVESTORS SHOULD TAKE ADVANTAGE OF THIS OPPORTUNITY - 1990sq BLOCK

Large parcel of land measuring 1990sq2 approx  with an endorsed Planning Permit to construct 2x 4 bedroom residences on the block.  Current owner is in the middle of subdividing the parcel of land into two blocks each measuring approx 992 sq2 , however, the subdivision is yet to be completed and he is unable to finish the project. All  plans and permits will be made available to the successful purchaser. The land is well located only a short walk to the town centre, schools and Mooroopna Golf course.  If you are looking at investing into the rental market build two houses which would easily lease for $800.00 per week! 

Details

Address 19 Mckean St, Mooroopna
Price SOLD for $150,000
Property Type Residential
Property ID 2575
Category Vacant Land
Land Area 1,990m2

Share

Connie Young photo

Connie Young

0428 254 833